ФотабусАўтобусны транспарт

Iнфармацыя аб малюнку

335 КБ


Ідэнтыфікатар малюнка:1653958
Памер файла:335 КБ
Аўтар:Артем1
Апублікавана:19.11.2016 01:42 MSK
Знаходзіцца на сайце, дзён:3374
Унікальных праглядаў:338
Каментарыяў:0

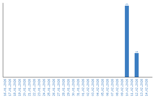
Дынаміка праглядаў па датах