ФотобусАвтобустар галереясы

Информация об изображении

250 КБ


Идентификатор изображения:164729
Размер файла:250 КБ
Автор:Andrey Kaban
Опубликовано:25.09.2009 15:49 MSK
Находится на сайте, дней:5956
Уникальных просмотров:430
Комментариев:1

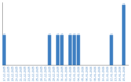
Динамика просмотров по датам