FotobusTransport autobusowy

Informacja o zdjęciu

342 kB


Identyfikator zdjęcia:1643762
Rozmiar pliku:342 kB
Autor:Palmer
Opublikowano:29.10.2016 20:11 MSK
Znajduje się na stronę, dni:3391
Odsłon:507
Komentarzy:0

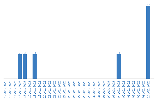
Liczba oglądających wg dat