ФотобусАвтобусный транспорт

Информация об изображении

348 КБ


Идентификатор изображения:1639285
Размер файла:348 КБ
Автор:Serginho
Опубликовано:21.10.2016 11:12 MSK
Находится на сайте, дней:3303
Уникальных просмотров:633
Комментариев:0

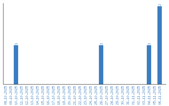
Динамика просмотров по датам