FotobusΜεταφορά με λεωφορείο

Picture Statistics

314 KB


Picture ID:1638657
File Size:314 KB
Συγγραφέας:Ян Мухтаров
Publication Date:19.10.2016 18:11 MSK
Days in Database:3306
Unique views:559
Comments:4

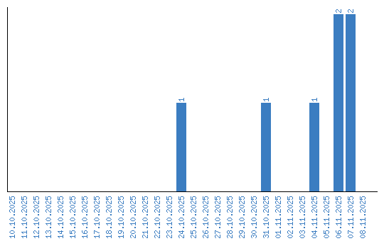
Viewing statistics by date