Database
Models
Countries and Regions
Extras
News & Chronology
Miscellaneous Galleries
Links
Comments
Updates
New Photos
News Feed
All Updates by Date
Help
Terms & Conditions
Photo Publication Criteria
Photo Information Rules
Photo reject reasons
Forums
Search
Search Photos
Search Vehicles
Search Comments
Search Authors
Login
Sign up
English
Русский
Беларуская
Українська
Қазақ тілі
Polski
Čeština
English
Español
Deutsch
Lietuvių
Latviešu
Magyar
Ελληνικά
Bus Transport
Picture Statistics
Picture ID:
1637578
File Size:
323 KB
Author:
monochrome
Publication Date:
17.10.2016 15:46 MSK
Days in Database:
3273
Unique views:
355
Comments:
0
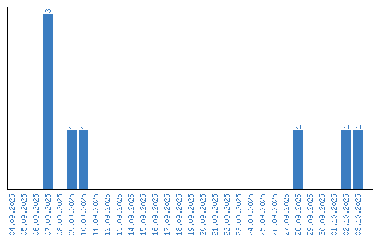
Viewing statistics by date
Index
Forums
Terms & Conditions
© Fotobus administration and authors of photos, 2007—2025
Using any images from this website without authors' permission is prohibited.