ФотобусАвтобусний транспорт

Статистика по зображенню

384 КБ


Ідентифікатор зображення:1635410
Розмір файлу:384 КБ
Автор:A G
Опубліковано:13.10.2016 00:22 MSK
Знаходиться на сайті, днів:3313
Унікальних переглядів:243
Коментарів:0

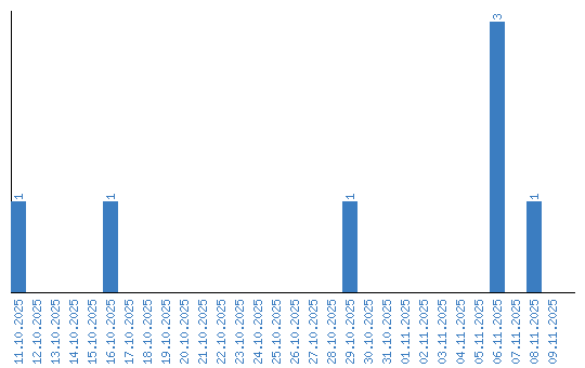
Динаміка переглядів за датами