ФотобусАвтобусный транспорт

Информация об изображении

343 КБ


Идентификатор изображения:1628078
Размер файла:343 КБ
Автор:dielektrik
Опубликовано:26.09.2016 23:03 MSK
Находится на сайте, дней:3382
Уникальных просмотров:477
Комментариев:0

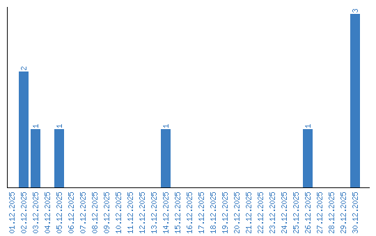
Динамика просмотров по датам