ФотобусАвтобусный транспорт

Информация об изображении

304 КБ


Идентификатор изображения:1620278
Размер файла:304 КБ
Автор:kda1981
Опубликовано:15.09.2016 09:33 MSK
Находится на сайте, дней:3401
Уникальных просмотров:169
Комментариев:0

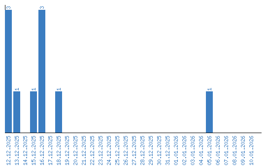
Динамика просмотров по датам