FotobusAutobusų transportas

Nuotraukos informacija

106 KB


Nuotraukos identifikatorius:1618372
Bylos dydis:106 KB
Autorius:Put-Nik
Publikuota:11.09.2016 14:35 MSK
Yra tinklapyje dienų:3357
Unikalių peržiūrų:379
Komentarų:1

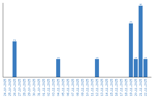
Peržiūrų dinamika pagal dienas