FotobusBusverkehr

Bildinformationen

293 KB


Foto-ID:1618130
Dateigröße:293 KB
Aufgenommen von:ValerG781
Veröffentlicht am:10.09.2016 23:11 MSK
Tage seit Veröffentlichung:3455
Aufrufe:306
Kommentare:0

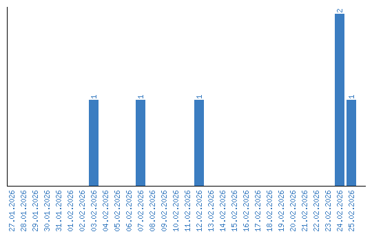
Aufrufestatistik (Tage)