ФотобусАвтобусный транспорт

Информация об изображении

308 КБ


Идентификатор изображения:1614185
Размер файла:308 КБ
Автор:Rīdzinieks
Опубликовано:02.09.2016 20:56 MSK
Находится на сайте, дней:3323
Уникальных просмотров:351
Комментариев:0

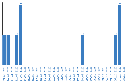
Динамика просмотров по датам