FotobusAutobusa transports

Informācija par attēli

295 KB


Attēla identifikātors:1595335
Faila lielums:295 KB
Autors:ZapFan
Ir publicēts:01.08.2016 06:34 MSK
Atrodas vietnē, dienās:3514
Unikāli skatījumi:209
Komentārus:0

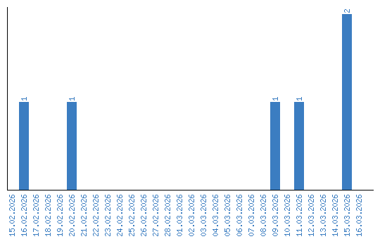
Dinamika skatišana pēc datuma