ФотобусАвтобусный транспорт

Информация об изображении

258 КБ


Идентификатор изображения:1594481
Размер файла:258 КБ
Автор:Владичка
Опубликовано:31.07.2016 17:33 MSK
Находится на сайте, дней:3521
Уникальных просмотров:194
Комментариев:0

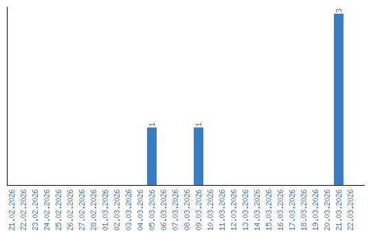
Динамика просмотров по датам