FotobusAutobusová doprava

Statistika obrázku

342 kB


Identifikátor obrázku:1590411
Velikost souboru:342 kB
Autor:Timofei Ikarus
Zveřejněno:24.07.2016 23:15 MSK
Nachází se na stránkách (dní):3398
Jednotlivých zhlédnutí:438
Komentářů:0

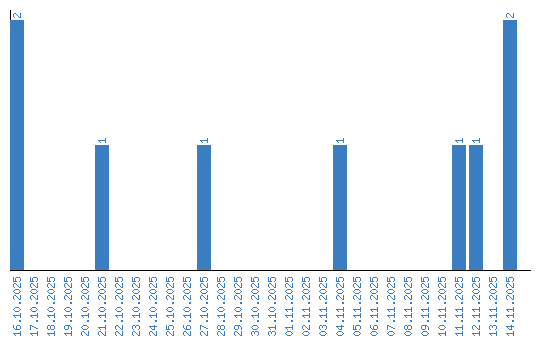
Zhlédnutí po jednotlivých dnech