ФотобусАвтобусный транспорт

Информация об изображении

249 КБ


Идентификатор изображения:157598
Размер файла:249 КБ
Автор:Николаич (ppm2210)
Опубликовано:08.09.2009 23:04 MSK
Находится на сайте, дней:6028
Уникальных просмотров:529
Комментариев:0

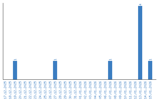
Динамика просмотров по датам