ФотобусАвтобусний транспорт

Статистика по зображенню

188 КБ


Ідентифікатор зображення:1563558
Розмір файлу:188 КБ
Автор:Nilin007
Опубліковано:11.06.2016 23:34 MSK
Знаходиться на сайті, днів:3622
Унікальних переглядів:734
Коментарів:3

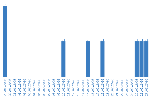
Динаміка переглядів за датами