ФотабусАўтобусны транспарт

Iнфармацыя аб малюнку

400 КБ


Ідэнтыфікатар малюнка:1556172
Памер файла:400 КБ
Аўтар:monochrome
Апублікавана:29.05.2016 11:00 MSK
Знаходзіцца на сайце, дзён:3449
Унікальных праглядаў:274
Каментарыяў:0

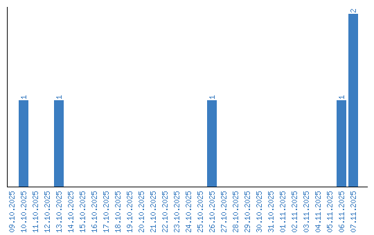
Дынаміка праглядаў па датах