ФотабусАўтобусны транспарт

Iнфармацыя аб малюнку

354 КБ


Ідэнтыфікатар малюнка:1549272
Памер файла:354 КБ
Аўтар:monochrome
Апублікавана:19.05.2016 19:04 MSK
Знаходзіцца на сайце, дзён:3590
Унікальных праглядаў:274
Каментарыяў:0

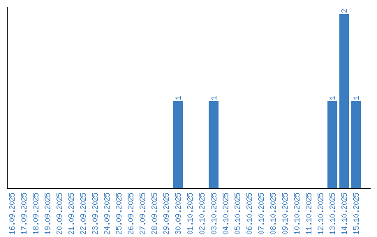
Дынаміка праглядаў па датах