FotobusAutobusa transports

Informācija par attēli

306 KB


Attēla identifikātors:1545722
Faila lielums:306 KB
Autors:Никита Лапин
Ir publicēts:15.05.2016 02:05 MSK
Atrodas vietnē, dienās:3529
Unikāli skatījumi:438
Komentārus:0

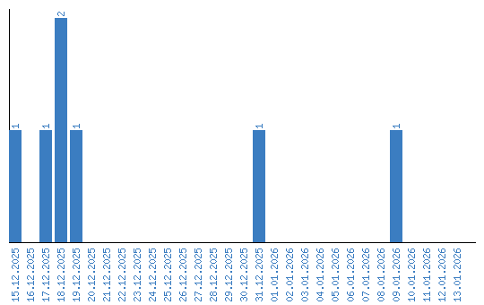
Dinamika skatišana pēc datuma