ФотобусАвтобусный транспорт

Информация об изображении

235 КБ


Идентификатор изображения:1541988
Размер файла:235 КБ
Автор:the.traveller
Опубликовано:09.05.2016 08:33 MSK
Находится на сайте, дней:3539
Уникальных просмотров:439
Комментариев:0

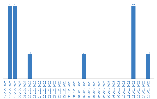
Динамика просмотров по датам