ФотобусАвтобусный транспорт

Информация об изображении

249 КБ


Идентификатор изображения:1534625
Размер файла:249 КБ
Автор:the.traveller
Опубликовано:29.04.2016 05:24 MSK
Находится на сайте, дней:3586
Уникальных просмотров:302
Комментариев:0

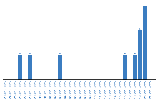
Динамика просмотров по датам