ФотобусАвтобусный транспорт

Информация об изображении

216 КБ


Идентификатор изображения:152311
Размер файла:216 КБ
Автор:Исайченков Валерий
Опубликовано:27.08.2009 19:52 MSK
Находится на сайте, дней:6022
Уникальных просмотров:616
Комментариев:3

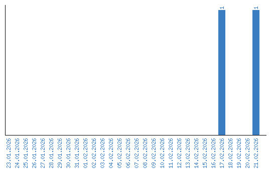
Динамика просмотров по датам