FotobusΜεταφορά με λεωφορείο

Picture Statistics

327 KB


Picture ID:1515878
File Size:327 KB
Συγγραφέας:Valius Kedainietis
Publication Date:23.03.2016 23:46 MSK
Days in Database:3588
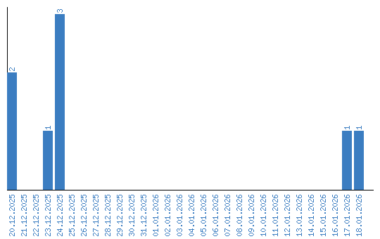
Unique views:208
Comments:0

Viewing statistics by date