FotobusAutobusų transportas

Nuotraukos informacija

388 KB


Nuotraukos identifikatorius:1508183
Bylos dydis:388 KB
Autorius:Canon89
Publikuota:06.03.2016 18:14 MSK
Yra tinklapyje dienų:3693
Unikalių peržiūrų:397
Komentarų:0

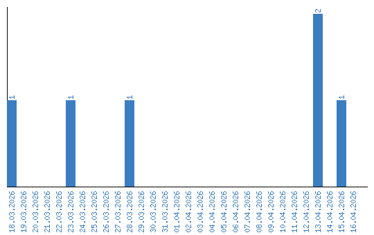
Peržiūrų dinamika pagal dienas