FotobusAutobusová doprava

Statistika obrázku

258 kB


Identifikátor obrázku:1507278
Velikost souboru:258 kB
Autor:kda1981
Zveřejněno:03.03.2016 01:28 MSK
Nachází se na stránkách (dní):3685
Jednotlivých zhlédnutí:282
Komentářů:0

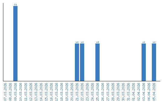
Zhlédnutí po jednotlivých dnech