FotobusΜεταφορά με λεωφορείο

Picture Statistics

169 KB


Picture ID:1506107
File Size:169 KB
Συγγραφέας:olegp
Publication Date:29.02.2016 13:56 MSK
Days in Database:3509
Unique views:238
Comments:0

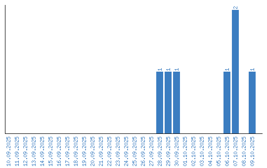
Viewing statistics by date