FotobusΜεταφορά με λεωφορείο

Picture Statistics

290 KB


Picture ID:1505951
File Size:290 KB
Συγγραφέας:SERGO333970
Publication Date:28.02.2016 21:38 MSK
Days in Database:3523
Unique views:206
Comments:7

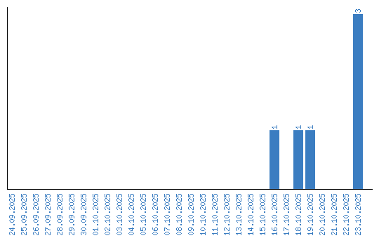
Viewing statistics by date