FotobusBuszfotók és járműlisták

Képadatok

332 KB


Képazonosítő:1499925
Kép mérete:332 KB
Készítette:Евгений Мамыкин
Publikálás napja:14.02.2016 23:19 MSK
Hány napja látható:3568
Megtekintések:309
Kommentek:0

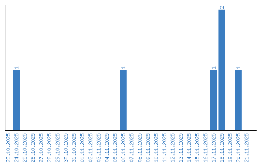
Naponkénti megtekintések