ФотобусАвтобустар галереясы

Информация об изображении

341 КБ


Идентификатор изображения:1492460
Размер файла:341 КБ
Автор:VitalikTTL
Опубликовано:28.01.2016 01:34 MSK
Находится на сайте, дней:3628
Уникальных просмотров:225
Комментариев:5

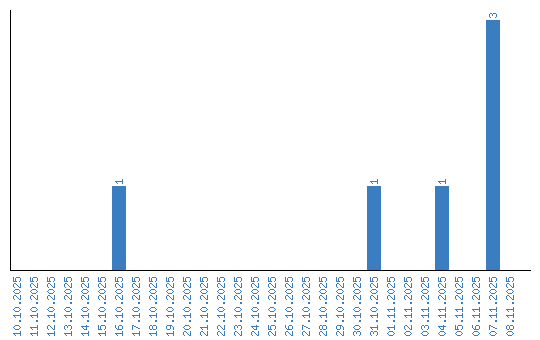
Динамика просмотров по датам