ФотобусАвтобусный транспорт

Информация об изображении

199 КБ


Идентификатор изображения:1487318
Размер файла:199 КБ
Автор:gergo3864
Опубликовано:15.01.2016 12:07 MSK
Находится на сайте, дней:3687
Уникальных просмотров:597
Комментариев:0

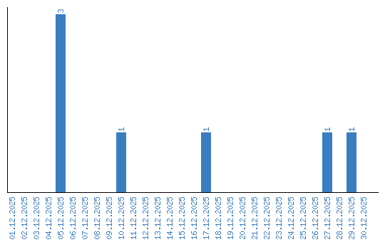
Динамика просмотров по датам