ФотобусАвтобусный транспорт

Информация об изображении

306 КБ


Идентификатор изображения:1480530
Размер файла:306 КБ
Автор:Valius Kedainietis
Опубликовано:31.12.2015 18:57 MSK
Находится на сайте, дней:3741
Уникальных просмотров:369
Комментариев:0

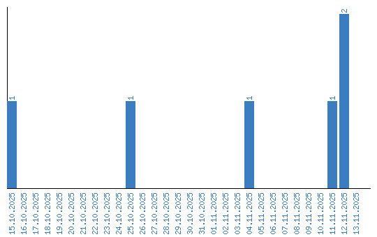
Динамика просмотров по датам