ФотобусАвтобусный транспорт

Информация об изображении

327 КБ


Идентификатор изображения:1476273
Размер файла:327 КБ
Автор:9122_DA
Опубликовано:18.12.2015 20:57 MSK
Находится на сайте, дней:3575
Уникальных просмотров:152
Комментариев:0

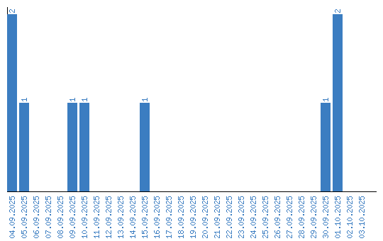
Динамика просмотров по датам