FotobusΜεταφορά με λεωφορείο

Picture Statistics

219 KB


Picture ID:1475597
File Size:219 KB
Συγγραφέας:serzhant
Publication Date:16.12.2015 17:36 MSK
Days in Database:3774
Unique views:138
Comments:0

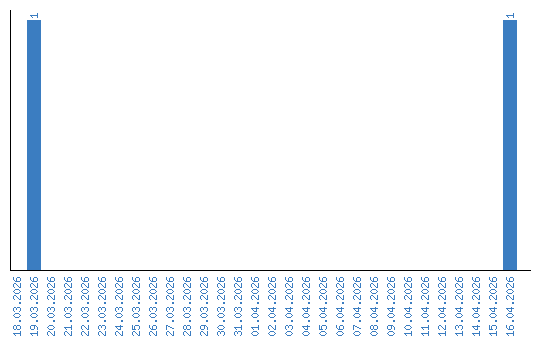
Viewing statistics by date