ФотабусАўтобусны транспарт

Iнфармацыя аб малюнку

325 КБ


Ідэнтыфікатар малюнка:1474298
Памер файла:325 КБ
Аўтар:dielektrik
Апублікавана:13.12.2015 19:10 MSK
Знаходзіцца на сайце, дзён:3693
Унікальных праглядаў:510
Каментарыяў:0

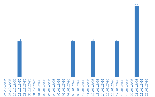
Дынаміка праглядаў па датах