FotobusΜεταφορά με λεωφορείο

Picture Statistics

345 KB


Picture ID:1471642
File Size:345 KB
Συγγραφέας:Тихий
Publication Date:06.12.2015 16:32 MSK
Days in Database:3664
Unique views:262
Comments:0

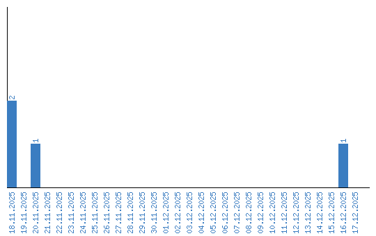
Viewing statistics by date