FotobusAutobusų transportas

Nuotraukos informacija

260 KB


Nuotraukos identifikatorius:1470116
Bylos dydis:260 KB
Autorius:LAEN
Publikuota:02.12.2015 19:35 MSK
Yra tinklapyje dienų:3676
Unikalių peržiūrų:592
Komentarų:0

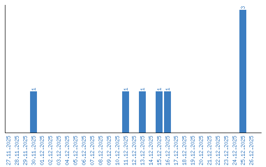
Peržiūrų dinamika pagal dienas