ФотабусАўтобусны транспарт

Iнфармацыя аб малюнку

348 КБ


Ідэнтыфікатар малюнка:1457982
Памер файла:348 КБ
Аўтар:Rovan
Апублікавана:06.11.2015 00:32 MSK
Знаходзіцца на сайце, дзён:3803
Унікальных праглядаў:246
Каментарыяў:0

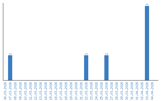
Дынаміка праглядаў па датах