FotobusAutobusa transports

Informācija par attēli

341 KB


Attēla identifikātors:1446775
Faila lielums:341 KB
Autors:Novert Байкальский
Ir publicēts:13.10.2015 10:01 MSK
Atrodas vietnē, dienās:3723
Unikāli skatījumi:216
Komentārus:0

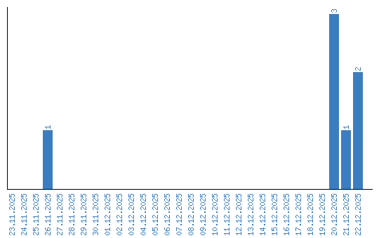
Dinamika skatišana pēc datuma