FotobusAutobusų transportas

Nuotraukos informacija

268 KB


Nuotraukos identifikatorius:1443216
Bylos dydis:268 KB
Autorius:Alex-Od
Publikuota:09.10.2015 16:12 MSK
Yra tinklapyje dienų:3722
Unikalių peržiūrų:347
Komentarų:0

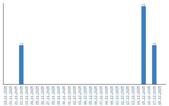
Peržiūrų dinamika pagal dienas