ФотобусАвтобусный транспорт

Информация об изображении

333 КБ


Идентификатор изображения:1435795
Размер файла:333 КБ
Автор:dielektrik
Опубликовано:26.09.2015 17:49 MSK
Находится на сайте, дней:3830
Уникальных просмотров:389
Комментариев:0

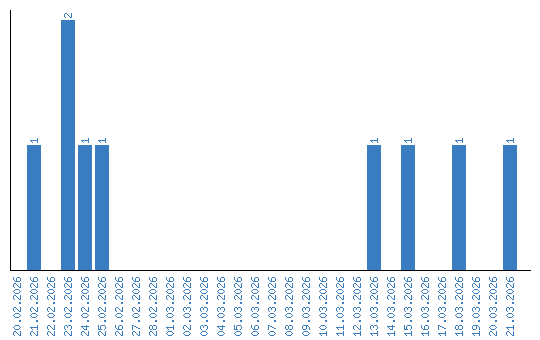
Динамика просмотров по датам