ФотобусАвтобусный транспорт

Информация об изображении

299 КБ


Идентификатор изображения:1417444
Размер файла:299 КБ
Автор:IKARUS 250Lux
Опубликовано:26.08.2015 16:54 MSK
Находится на сайте, дней:3828
Уникальных просмотров:259
Комментариев:0

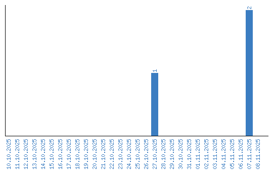
Динамика просмотров по датам