FotobusΜεταφορά με λεωφορείο

Picture Statistics

309 KB


Picture ID:1416838
File Size:309 KB
Συγγραφέας:IKARUS 250Lux
Publication Date:25.08.2015 23:41 MSK
Days in Database:3806
Unique views:212
Comments:0

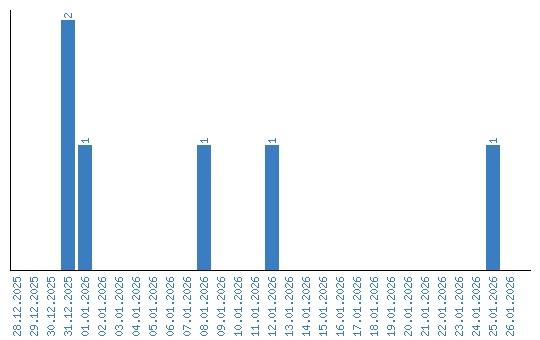
Viewing statistics by date