FotobusBusverkehr

Bildinformationen

196 KB


Foto-ID:141563
Dateigröße:196 KB
Aufgenommen von:Тренер
Veröffentlicht am:02.08.2009 13:44 MSK
Tage seit Veröffentlichung:6050
Aufrufe:273
Kommentare:0

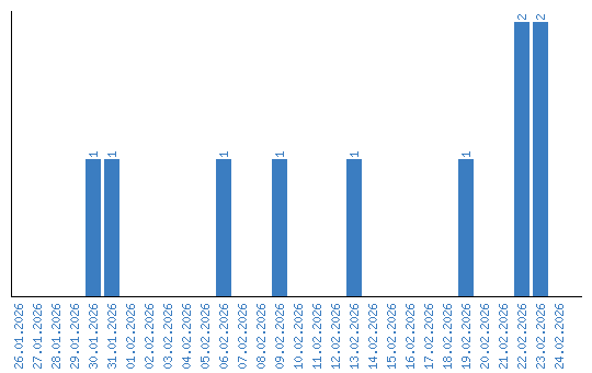
Aufrufestatistik (Tage)