ФотобусАвтобусный транспорт

Информация об изображении

344 КБ


Идентификатор изображения:1415578
Размер файла:344 КБ
Автор:OTOYL
Опубликовано:24.08.2015 16:59 MSK
Находится на сайте, дней:3727
Уникальных просмотров:305
Комментариев:0

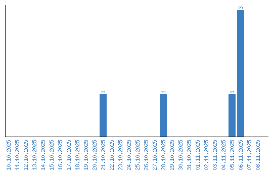
Динамика просмотров по датам