FotobusΜεταφορά με λεωφορείο

Picture Statistics

282 KB


Picture ID:1413500
File Size:282 KB
Συγγραφέας:alextown
Publication Date:22.08.2015 07:25 MSK
Days in Database:3816
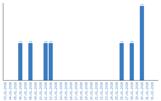
Unique views:396
Comments:0

Viewing statistics by date