ФотобусАвтобусний транспорт

Статистика по зображенню

302 КБ


Ідентифікатор зображення:1412147
Розмір файлу:302 КБ
Автор:Garfield
Опубліковано:20.08.2015 13:03 MSK
Знаходиться на сайті, днів:3775
Унікальних переглядів:302
Коментарів:0

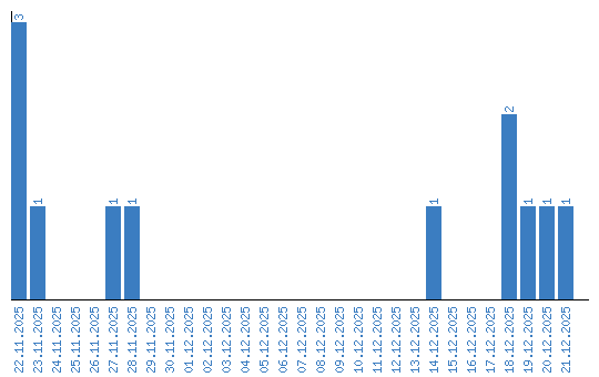
Динаміка переглядів за датами