FotobusAutobusa transports

Informācija par attēli

290 KB


Attēla identifikātors:1402013
Faila lielums:290 KB
Autors:авиксел
Ir publicēts:07.08.2015 01:48 MSK
Atrodas vietnē, dienās:3733
Unikāli skatījumi:290
Komentārus:0

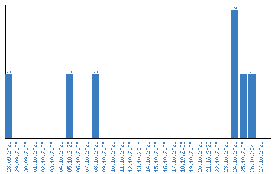
Dinamika skatišana pēc datuma