ФотобусАвтобусный транспорт

Информация об изображении

346 КБ


Идентификатор изображения:1387977
Размер файла:346 КБ
Автор:sav2403
Опубликовано:16.07.2015 18:09 MSK
Находится на сайте, дней:3841
Уникальных просмотров:230
Комментариев:0

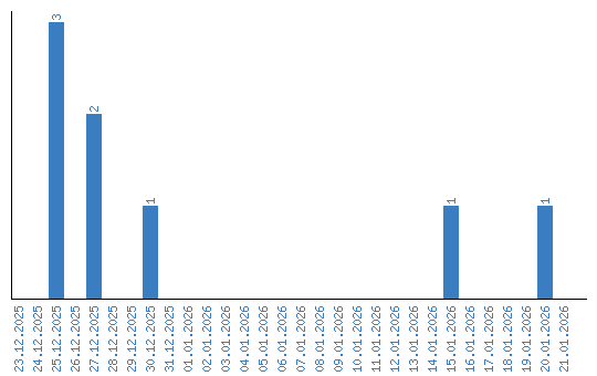
Динамика просмотров по датам