FotobusΜεταφορά με λεωφορείο

Picture Statistics

327 KB


Picture ID:1375661
File Size:327 KB
Συγγραφέας:DVkor
Publication Date:29.06.2015 10:34 MSK
Days in Database:3927
Unique views:232
Comments:0

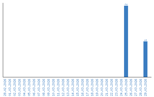
Viewing statistics by date